【Lancet子刊】中山医院周建军团队:术前CT肿瘤轮廓不规则性预测肾细胞癌预后的潜力
| 导读 | 本研究旨在评估术前基于CT的肿瘤轮廓不规则,在确定肾细胞癌(RCC)患者临床结果方面的预测意义。 |
2024年8月16日,复旦大学附属中山医院(厦门)周建军团队在期刊《eClinical Medicine》上发表了题为“Tumor contour irregularity on preoperative CT predicts prognosis in renal cell carcinoma: a multi-institutional study”的研究论文。在本研究中,团队证明了基于CT图像的肿瘤轮廓不规则度(CID),量化为不规则横截面与总肿瘤横截面的比率,可作为3cm或更大RCC肿瘤患者生存结果的独立预测因子。此外,CID支持在低、中、高SSIGN亚组内,进一步进行风险分层。

https://www.thelancet.com/journals/eclinm/article/PIIS2589-5370(24)00354-7/fulltext#%20
研究背景
01
肾细胞癌(RCC)是泌尿外科中一种普遍存在的恶性肿瘤,每年影响全球超过400,000人,占成人恶性肿瘤的2%-3%。尽管取得了进展,但RCC的不可预测性,使受影响患者的个性化随访治疗策略,变得复杂。即使是小肿瘤也具有转移潜力,与RCC相关的总体死亡率,仍然是一个难以缓解的挑战。
传统上,RCC患者的风险分层,依赖于TNM分类等特征和核级。然而,仅靠这些特征,并不能产生完美的准确性。因此,越来越多的预后模型集成了各种预后特征,以提高预测准确性,其中,分期、大小、分级和坏死(SSIGN)模型,应用最为广泛。SSIGN模型结合了TNM分期之外的其他病理特征(肿瘤大小、核分级和组织学肿瘤坏死),从而提高了其对RCC生存结果的预测能力。然而,一些临床医生观察到,在同一 SSIGN分类的患者中,仍然存在显著的生存差异。SSIGN模型的一个局限性,是其开发仅基于透明细胞肾细胞癌(ccRCC),而忽略了其他组织学变异。此外,SSIGN主要结合病理特征,病理特征的评估通常涉及在关键部位进行多点评估,这可能导致肿瘤综合信息的丢失。
计算机断层扫描(CT)是一种可靠的非侵入性诊断方式,广泛用于检测肾脏肿块。最近的研究表明,通过成像观察到的RCC肿瘤的形态学特性,具有固有的预后价值。然而,在评估形状不规则性方面缺乏标准化,阻碍了客观和定量分析,从而限制了其临床实用性。
本研究旨在利用多中心数据集,来验证CID在RCC患者不同亚组中的预后相关性。此外,团队试图确定CID是否可以补充基于病理学的特征,以增强RCC患者的个体风险分层。
研究进展
02
CID与RCC患者生存结果之间的相关性
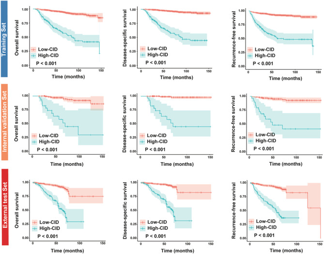
CID在预测3cm或更大RCC肿瘤患者的OS、RFS和DSS方面显示出显著价值,在中山队列和外部测试集中,在小于3cm的肿瘤中,均未观察到这一现象。此外,在中山队列和外部测试集中,观察到不同病理类型的RCC和ISUP等级的CID,与生存结果之间存在显著关联。
生存分析显示,在肿瘤大小为≥3cm的RCC患者中,高CID患者的DSS/OS/RFS(OS/RFS明显短于低CID组),这在肿瘤大小为<3cm的RCC患者中没有观察到。与低CID患者相比,高CID患者的年龄、晚期T分期、淋巴结受累、肉瘤样分化和坏死的发生率更高。
Kaplan-Meier估计的3cm或更大肿瘤的RCC患者在训练集、内部验证集和外部测试集中的总生存期(左图)、疾病特异性生存期(中图)和无复发生存期(右图),按轮廓不规则程度分层。RCC,肾细胞癌。
基于CID的列线图预测预后的功效
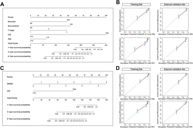
CID(HR=10.78, 95%CI=6.63–17.53, p<0.001)、肉瘤样分化(HR=4.52, 95%CI=2.23–9.16, p<0.001)、淋巴结受累(HR=5.53, 95%CI=2.47–12.38, p<0.001)、坏死(HR=2.69, 95%CI=1.61–4.48, p<0.001)、T分期(HR=1.80, 95%CI=1.37–2.35, p<0.001)和年龄(HR=1.89, 95%CI=1.17–3.05,p=0.009)在多变量分析中,被确定为DSS的独立预后因素。团队发现最大方差膨胀因子(VIF)为1.13,远低于阈值10,表明不存在显著的多重共线性问题。
新开发的C模型和C-SSIGN模型,表现出优于SSIGN的性能。与SSIGN相比,新开发的模型具有更优越的临床实用性。与Leibovich的chrRCC模型(AUC=0.58,95%CI:0.31-0.85)相比,列线图显示出更好的AUC值,为0.75(95%CI:0.43-1.00)。
基于CID的肿瘤尺寸为3cm或更大的RCC患者的预后列线图的开发。(A)结合CID与病理特征的列线图(C模型)。(B) C模型在训练集和外部验证集中,预测5年疾病特异性生存期(上图)和无复发生存期(下图)的校准曲线。(C) 将CID与SSIGN(C-SSIGN)相结合的列线图。(D) C-SSIGN在训练和外部验证集中,预测5年疾病特异性生存期(上图)和无复发生存期(下图)的校准曲线。CID, 轮廓不规则程度;RCC,肾细胞癌;SSIGN、分期、大小、等级和坏死。
研究结论
03
在本研究中,通过采用包括2,218名病理诊断为 ccRCC、pRCC和chrRCC患者的大规模多中心队列,团队证实了CID在不同组织学亚型RCC患者风险分层中的潜力。CID是3cm或更大RCC肿瘤患者生存结果的独立预测因子,这种现象在小于3cm的肿瘤中未观察到。这种差异可能归因于小于3cm的肿瘤扫描层有限,影响了CID的准确性。
CID的应用,允许在低、中、高SSIGN亚组内,进一步进行风险分层。与ISUP 3级内低CID患者相比,ISUP 2级内高CID的RCC患者的临床结果较差。这强调了CID在进一步区分ISUP 2级和3级RCC患者预后方面的潜力。CID是一种有效的基于术前成像的用户友好型生物标志物,用于补充当前基于病理学的分期系统。
多项临床试验表明,与安慰剂相比,帕博利珠单抗辅助治疗,可显著提高肾切除术后高危RCC患者的无病生存期和总生存期。团队新开发的预后模型,可以帮助识别可能从更积极的辅助治疗中受益的高危患者群体。此外,预测模型可以帮助医生与患者及其家属进行沟通,提供有关疾病进展和预后的客观信息。研究结果可以进一步优化RCC的个性化治疗,改善患者的治疗效果和生活质量。
总之,作为一种非侵入性且易于评估的生物标志物,CID成为预后的稳健独立预测指标,并在预测3cm或更大RCC肿瘤患者的生存结果方面,补充了现有的基于病理学的分期系统。团队新设计的列线图是一种实用可靠的工具,为常规临床应用提供关键的预后见解,从而推动精准医疗和个性化治疗在RCC管理中的应用。
参考资料:
1.Bray F. Ferlay J. Soerjomataram I. Siegel R.L. Torre L.A. Jemal A.
Global cancer statistics 2018: GLOBOCAN estimates of incidence and mortality worldwide for 36 cancers in 185 countries.
CA Cancer J Clin. 2018; 68: 394-424
2.Eichelberg C. Junker K. Ljungberg B. Moch H.
Diagnostic and prognostic molecular markers for renal cell carcinoma: a critical appraisal of the current state of research and clinical applicability.
Eur Urol. 2009; 55: 851-863
腾讯登录
还没有人评论,赶快抢个沙发