【重磅】冠状病毒具有很强的季节性, 但新冠病毒仍未确定
| 导读 | 随着气温的逐渐升高,很多人猜测新型冠状病毒是不是像流感那样是季节性流行传染病,只在冬春季流行,一到夏天升温时新型冠状病毒就会消失,最近密歇根大学公共卫生学院有了新的研究成果。 |
该研究的作者表示,目前还无法确定导致COVID-19疾病的SARS-CoV-2冠状病毒是否也会有类似的特点。但是还是希望这项研究能够帮助调查员们更好的准备在COVID-19大流行期间将要发生的事情。这项研究在《传染性疾病期刊》上发表了。
密歇根大学公共卫生学院托马斯·弗朗西斯流行病学大学教授阿诺德·蒙托(Arnold Monto)说,“尽管在密歇根发现的季节性病毒与SARS-CoV-2有关,但我们不能确定是否新冠病毒COVID-19会像季节性冠状病毒那样活动,”“只有时间能告诉我们SARS-CoV-2是否在呼吸系统感染领域持续存在,是否会像中东呼吸综合征(MERS)那样继续循环存在,或者像SARS那样,从人类中完全消失。”
研究人员指出,冠状病毒在很长时间都被认为是人类呼吸道病原体。但人类的冠状病毒历来在轻度的呼吸系统疾病中被发现;然而当动物把冠状病毒蔓延到人类时,人类就会有特别严重的疾病。2002年的严重急性呼吸系统综合征(SARS)和2012年的中东呼吸系统综合征(MERS)都是动物的冠状病毒传染给人类。COVID-19的盛行也被认为是以同样的方式传染给人类的。
蒙托和他的同事使用了来自家庭流感疫苗评估研究的数据,这是一项正在进行的对安阿伯地区有儿童的家庭中呼吸系统疾病的纵向调查, 在过去的10年里,来自几百个家庭的890到1441人参与了这项研究。这项持续性的研究目前正在追踪SARS-CoV-2的发生和它在密歇根家庭中的潜在存在。


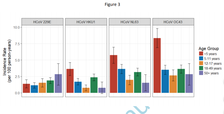
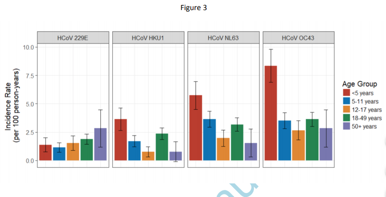
2010年,这项研究开始追踪四种典型的轻度人类冠状病毒(OC43,229E,HKU1,NL63)的发生。研究人员查看了993例上述冠状病毒感染者的频率,季节性和家庭传播特征。得出结论:


1. 大体上,成人中有9%的病例需要看医生,儿童中有20%的病例需要看医生。平均来看,30%的流感病例需要看医生。
2. 在全年检测期间,大部分冠状病毒在12月至4、5月份被检测出来,在1、2月份达到顶峰。只有2.5%的病例出现在6月至9月之间。
3. 5岁以下的儿童的感染率最高。


4. 在993例感染中,有260例是来自受感染家庭的接触者。在指数和家庭获得性病例的连续时间间隔为3.2到3.6天;继发性感染的风险按类型从7.2%到12.6%不等。
5. 5岁以下的儿童和50岁以上的成人更有可能被归类为严重病例。
蒙托和他的同事说,根据连续的时间间隔和继发性感染风险来看,密歇根研究的冠状病毒季节性很强。在相同的研究人群中,冠状病毒的传播潜力与甲型流感(H3N3)相似。研究人员说表明,这样的结论不能说明SARS-CoV-2将会如何传播。
在另一项正在进行的研究中,研究者们使用COVID-19大流行之前收集的样本去探索社区引入SARS-CoV-2的情况。初步的证据显示,3月份之前没有证据表明社区存在SARS-CoV-2。
因此,新冠病毒是否在夏季消失还不得而知,随着全球新冠病毒的大爆发,在夏天结束这场大疫情已经基本不太可能了。
(转化医学网360zhyx.com)
参考:
【1】https://medicalxpress.com/news/2020-04-common-coronaviruses-highly-seasonal-cases.html
【2】DOI: 10.1093/infdis/jiaa161
腾讯登录
还没有人评论,赶快抢个沙发