【研究】每周食用3-6个鸡蛋可降低心血管疾病和死亡的风险
| 导读 | 之前发表在《心脏》杂志上的一项中国研究显示,每天吃一个鸡蛋的人比不吃鸡蛋的人患心血管疾病的风险要低得多。 |

鸡蛋被认为是提供优质蛋白质的良好来源,含有对健康有益的生物活性成分,但蛋黄中也含有丰富的胆固醇,使公众对食用整个鸡蛋犹豫不决。到目前为止,大多数研究都是在高收入国家进行的,目的是探索鸡蛋消费与心血管疾病发病率或总死亡率之间的关系,结果在人群和心血管疾病亚型之间并不一致。因此,在全世界范围内,关于建议食用鸡蛋的问题还没有达成共识。
因此,来自中国和英国的一个北京大学健康科学中心公共卫生学院的李立明教授和于参庆教授组织了一个团队,然后研究者们开始检查鸡蛋消费和心血管疾病、缺血性心脏病、主要冠状动脉事件、出血性中风和缺血性中风之间的关系。这些参与者是在2004-2008年间招募的,参与者们被问及吃鸡蛋的频率,之后被随访以确定他们的发病率和死亡率。在这项新研究中,研究人员集中调查了416213名没有癌症、心血管疾病(CVD)和糖尿病病史的参与者。该组的中位随访时间为8.9年,共记录了83977例心血管疾病和9985例心血管疾病死亡,以及5103例主要的冠状动脉事件。
在研究开始时,13.1%的参与者报告每天食用鸡蛋(通常为0.76个鸡蛋/天),9.1%的参与者报告从未或非常罕见食用鸡蛋(通常为0.29个鸡蛋/天)。分析结果表明,与不吃鸡蛋的人相比,每天吃鸡蛋的人总体上患心血管疾病的风险较低。特别是,每天食用鸡蛋(最多一个鸡蛋/天)的人患出血性中风的风险降低了26%,出血性中风在中国的患病率高于高收入国家,出血性中风死亡风险降低了28%,心血管疾病死亡风险降低了18%。此外,与“从不/很少”食用类别(2.03个鸡蛋/周)相比,每天食用鸡蛋(估计数量为5.32个鸡蛋/周)的人患缺血性心脏病的风险降低了12%。这是一项观察性研究,因此不能得出确切的因果关系,但作者说他们的研究样本量很大,并考虑了已确定的和潜在的心血管疾病危险因素。作者总结道:“目前的研究发现,适量的鸡蛋摄入(每天最多吃一个鸡蛋)和较低的心脏事件发生率之间存在联系。这项研究为中国健康成年人食用鸡蛋的膳食指南提供了科学依据。
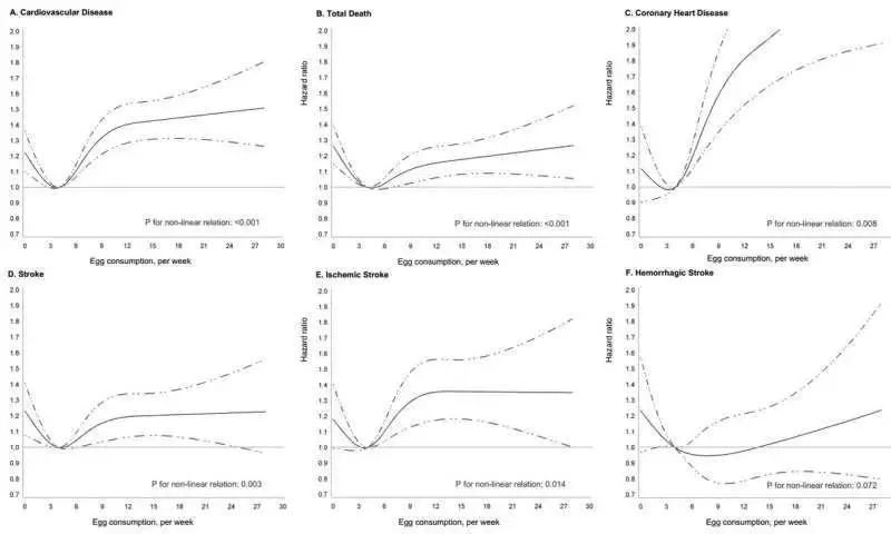
当前的研究由中国医学科学院阜外医院夏雪和她的同事们组织实施的,研究表明,中国人民鸡蛋消费和发生心血管疾病的风险之间的关系和总死亡率之间是一种呈现“U字型”的关系,那些每周消耗3 - 6个鸡蛋的人风险最低。
更具体地说,每周食用少于1个鸡蛋与22%的心血管疾病发病率和29%的总死亡率有关;另一方面,每周10个及以上鸡蛋的摄入量会导致39%的心血管疾病发病率和13%总死亡率。此外,研究人员指出,鸡蛋消费量对心血管疾病(CVD)亚型的影响是不同的。吃鸡蛋多的人患冠心病(CHD)和缺血性中风的风险更高,吃鸡蛋少的人才会出现出血性脑卒中风险的升高。
本研究是在中国动脉粥样硬化性心血管疾病风险预测项目(China- par)的基础上进行的,该项目的目的是评估心血管疾病的发病情况,并识别中国人与此相关的患病因素。

这项试验共有来自中国15个省份的102136名参与者,他们在基准线时都没有心血管疾病、癌症或晚期肾病。在长达17年的随访中,共发现4848例突发心血管疾病(包括1273例冠心病和2919例中风)和5511例死亡,随访率超过90%。
中国嘉道理生物银行(CKB)此前的研究表明,与从不或极少食用(约1周2个鸡蛋)相比,少量或适量摄入鸡蛋(约1周5个鸡蛋)与较低的心血管疾病风险密切相关。然而,缺乏或只有1周1个鸡蛋的参与者限制了他们进一步评估更高的鸡蛋摄入量对心血管疾病及其他疾病的影响。在China-PAR项目中,约有25%的参与者每周食用3-6个鸡蛋,每周少于一个鸡蛋的参与者比例为12%,每周大于等于10个鸡蛋的参与者比例为24%。
得益于鸡蛋消费的广泛,本研究首先证明了中国人民鸡蛋摄入过多的潜在不利影响。
美国和中国最新的膳食指南取消了对膳食胆固醇的限制,引起了相当大的反响。随后,美国心脏协会和中国预防医学协会都发布了科学报告,并强调“饮食胆固醇不应该被给予无限量食用的免费通行证。”
“考虑到中国胆固醇摄入量和高胆固醇血症患病率的快速增长,应采取措施鼓励公众限制膳食胆固醇摄入量。”与此同时,建议那些不怎么吃鸡蛋的的人今后多吃一点。这一新的证据应该被考虑在饮食胆固醇和心血管疾病预防指南的更新中,适用于普通中国人民,也可能适用于很多中低收入国家的人。
参考
【1】https://medicalxpress.com/news/2020-04-consumption-eggsweek-lowers-cardiovascular.html
【2】https://medicalxpress.com/news/2018-05-daily-egg-consumption-cardiovascular-disease.html
(转化医学网360zhyx.com)
腾讯登录
还没有人评论,赶快抢个沙发