吸烟仅仅引发肺癌?大错特错!
| 导读 | 吸烟被WHO列为一类致癌物,大量的研究证明吸烟包括二手烟是肺癌的主要诱因之一。然而吸烟不仅仅会导致肺癌,随着科学研究的深入,我们发现吸烟与肺癌之间也有着密切的联系。 |
肝癌是威胁人类生命的最严重的恶性肿瘤之一,其发病率紧挨肺癌,位居癌症死亡率的第二位。
中国是肝癌大国,更是谈肝色变,而超过90%的肝癌都与乙型肝炎病毒(HBV)或丙型肝炎病毒(HCV)感染、酒精性肝病(AILD)、非酒精性脂肪肝炎(NASH)和血色素沉着病等有关。
酒精与肝癌的关系更是不言而喻,许多研究与国际机构都已证实酒精会增加患肝癌的风险。但是吸烟也与肝癌有关吗?在大家的常识里,吸烟有害健康似乎只与肺癌有关,但近期的研究显示事实似乎并非如此。
吸烟真的与肝癌有关吗?
众多的研究都表明吸烟确实与肝癌有关。数据分析显示,吸烟会增加HCV和HBV的风险,并对其有累加作用。而早在2009年和2004年发表的两篇IARC专著中指出,吸烟是肝癌发展的独立危险因素。
吸烟大大提高肝癌患病率!
“Cigarette smoking as a risk factor for the development of andmortality from hepatocellular carcinoma: An updated systematic review of 81 epidemiological studies”对81项调查吸烟与肝癌相关性的研究中发现:
重度吸烟患者,其肝癌房率几乎比不吸烟者要高一倍!
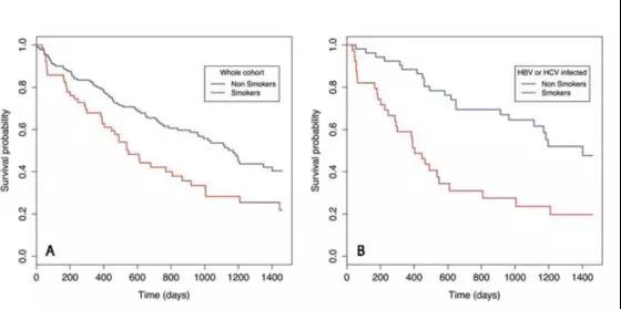
肝癌患者,吸烟降低生存率!
在“Effect of Smoking on Survival of Patients with Hepatocellular Carcinoma”的研究中,研究人员对瑞士伯尔尼大学医院的肝癌患者分成了吸烟组和非吸烟组进行了观察和分析。在238名符合标准的肝癌患者中,64人吸烟,174人不吸烟。吸烟组的总体生存率比非吸烟组的要低得多(HR 1.77, 95% CI: 1.22-2.58, p = 0.003)。
而“Cigarette smoking as a risk factor for the development of andmortality from hepatocellular carcinoma: An updated systematic review of 81 epidemiological studies”中更是详细的揭示了肝癌患者的死亡率:现在仍在吸烟者的肝癌死亡率是不吸烟的1.29倍(95% CI: 1.23至1.34;P < 0.00001);对于曾经吸烟者,其肝癌死亡率是不吸烟者的1.2倍(95% CI: 1.00 - 1.42;P = 0.04)。

肝癌术后,吸烟亦可增加并发症发生率!
虽然随着外科手术技术的进步和围手术期重症监护的发展,肝癌的术后住院死亡率已经大幅下降,但是仍有较高的几率存在不同问题的并发症,如肝纤维化、肝功能受损、胆汁损伤等。
在“Cigarette smoking increases risk of early morbidity after hepatic resection in patients with hepatocellular carcinoma”的研究中,研究人员分析了425例接受肝部分切除术的肝癌患者的资料。包括抽烟和喝酒、出院前的习惯、生化检查、肿瘤状态、手术数据及术后并发症等因素。
而结果显示,尽管住院时间彼此相似,但吸烟者的术后总体发病率明显高于非吸烟者与曾经吸烟者(56%比30%,p < 0.001),且吸烟者出现胆汁渗漏、顽固性腹水、胸腔积液、胸腔感染和伤口感染的频率高于不吸烟者(p < 0.05)。
在比较肝癌相关的并发症和术后的感染并发症的严重程度中,吸烟与非吸烟者也存在着巨大的区别。
吸烟和肝癌:几个重要假说!
我们知道香烟中含有超过4000种有害物质。其中尼古丁和一氧化二氮会造成氧的消耗和可用性之间的不平衡,可能会导致重要器官的低氧血症。虽然具体的机制还尚未明确,但目前有几个假说或许能给我们答案:
(1)吸烟会增加肝癌患者的纤维化,肝硬化,并通过分泌多种促炎性物质促进肝癌的发生。
(2)吸烟不仅影响肝癌和肺癌,它对各个癌症都要促进作用。这主要归功于,香烟内有一种致癌物质可DNA共价结合,导致体细胞的基本基因发生永久性的突变。
(3)普遍来说,吸烟者相比不吸烟者,在身体机能与健康方面略逊一筹,这导致在面对癌症时,更容易被癌症打败。而吸烟者的医从性和自控力远不如不吸烟者或戒烟者,这使得在癌症治疗时,较低医从性的吸烟者拥有更高的死亡率。
人到中年,枸杞咖啡。养生的话,还是戒烟戒酒的好。(转化医学网360zhyx.com)
参考文献:1.Abdel-Rahman O .et al. Cigarette smoking as a risk factor for the development of and mortality from hepatocellular carcinoma: An updated systematic review of 81 epidemiological studies. J Evid Based Med. 2017 Nov;10(4):245-254.
2.Kolly P, Knöpfli M, Dufour JF. Effect of smoking on survival of patients with hepatocellular carcinoma. Liver Int. 2017 Nov;37(11):1682-1687.
3.Lv Y, Liu C, Wei T, Zhang JF, Liu XM, Zhang XF.Cigarette smoking increases risk of early morbidity after hepatic resection in patients with hepatocellular carcinoma. Eur J Surg Oncol. 2015 Apr;41(4):513-9.
腾讯登录
还没有人评论,赶快抢个沙发