“突破认知”:一滴酒也致命!饮酒没有“安全量”!每周多喝100g,死亡风险高18%
| 导读 | 虽然人们常说“小酌怡情”,但真实情况果真这样吗?近日的这项研究可能要让大家扫兴了。来自英国牛津大学的研究团队在调查了超50万中国人数据后发现,较高的酒精摄入量增加了中国男性总体死亡和主要疾病的风险。 |
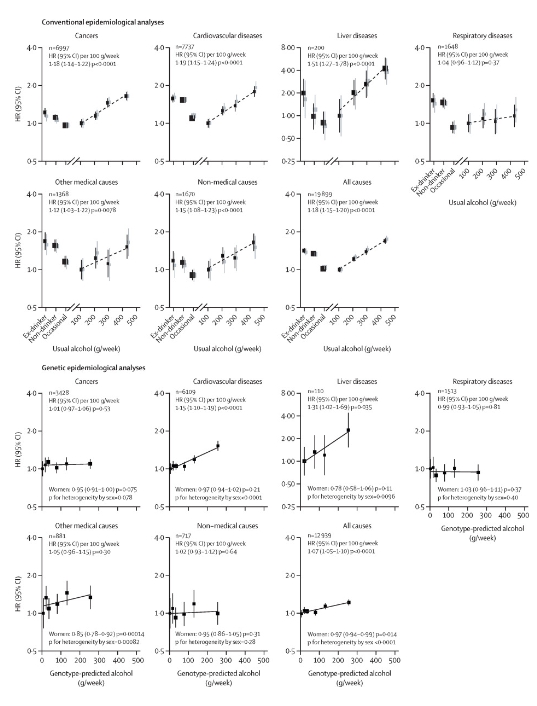
近日,英国牛津大学研究团队在权威期刊《The Lancet Public Health》发表了题为“Alcohol intake and cause-specific mortality: conventional and genetic evidence in a prospective cohort study of 512 000 adults in China”的研究论文,该研究中,研究人员通过孟德尔随机化分析显示,饮酒量与多种疾病因素的死亡风险之间存在正相关的线性关系,而非U型。即每周每多喝100g,男性参与者的全因死亡将随之升高18%。

https://doi.org/10.1016/S2468-2667(23)00217-7
研究背景
01
2016年,全球有害使用酒精导致约300万人死亡。酒精导致的主要死亡原因包括肝硬化、心血管疾病、某些癌症(如口腔和咽喉、食道和肝脏)、结核病、肺炎、酒精使用障碍和损伤。归因于酒精摄入的疾病负担估计值通常是基于对主要来自高收入国家的人群开展的观察性研究得出的风险估计值。最近的一项研究强调了来自不同人群的证据的重要性,不同地区和不同年龄人群的疾病发生率不同。此外,虽然观察性证据是基于大样本量,但观察到的关联可能不能反映因果效应,而因果效应可能影响对饮酒不良效应的估计。
在过去几十年中,对前瞻性研究进行的荟萃分析报告,在适量饮酒者中,观察到的总体死亡风险,尤其是CVD死亡风险较低,因此人们普遍接受一般人群每日1 ~ 2杯的饮酒安全量。然而,不饮酒者、中度饮酒者和重度饮酒者之间在健康特征和行为(如既往健康状况不佳、社会经济地位或吸烟行为)方面的系统性差异,往往受到选择队列研究及其人口统计学特征的影响,这可能导致反向因果关系(即健康状况影响饮酒模式)、混杂因素和其他偏倚。在中国,近几十年来酒精消费量稳步增长,但关于一般成年人群饮酒和死因别死亡率的证据很少。
研究进展
02
在这项针对中国成年人的大型前瞻性研究中,研究人员使用了一种强大的遗传工具来预测酒精摄入量,结果表明,基因型预测的酒精摄入量与心血管疾病(尤其是中风、某些癌症、肝脏疾病和全因死亡率)的死亡率升高有关。与传统观察分析中看到的J型关联相反,没有遗传证据表明适度饮酒对主要死亡原因(包括中风和缺血性心脏病)或总体死亡率有净保护作用。对于中风,死亡率风险随着基因型预测的酒精摄入量的增加而线性增加,而对于缺血性心脏病死亡率,则存在不显著的正趋势。此外,对饮酒量非常低的中国女性的分析表明,男性的死亡率过高可能是由于酒精本身,而不是遗传多效性。
在本研究中,中国男性死亡约20,000例,研究人员发现适度饮酒者的总体死亡率和大多数主要原因(包括缺血性心脏病和卒中)的死亡风险类似较低。然而,在男性饮酒者中,即使在摄入量较低的情况下,也与主要死亡原因(呼吸系统疾病除外)持续存在正相关,没有证据表明低于酒精与风险无关的阈值。
近年来,孟德尔随机化已被用于评估酒精对不同疾病的因果关联,但尽管之前的一些孟德尔随机化研究报告了酒精摄入导致更高的全因死亡风险,但它们没有评估原因特异性死亡率或评估不同摄入量的因果关联。

男性酒精摄入与主要病因特异性死亡率和全因死亡率的传统和遗传关联
英国生物样本库(UK Biobank)的一项包括13700例死亡的研究报告,使用ADH1B-rs1229984 (OR 1.44 [95% CI 1.09 ~ 1.90])或含有25个遗传变异的评分(1.31[1.08 ~ 1.59]),每天每增加1次饮酒,全因死亡风险均较高。
一项对1,329例死亡的澳大利亚男性进行的研究报告,ADH1B-rs1229984 GG基因型的全因死亡风险比GA和AA基因型(饮酒较少)高47%。
在12 939例男性死亡病例中,ADH1B rs1229984 GG基因型的全因死亡风险比GA基因型高17%(10 ~ 24%)。
研究结果还表明,酒精本身可能以线性和分级的方式与几种主要死因的死亡存在因果关系,而适度饮酒对包括CVD在内的主要死因无明显保护作用。根据每100 g/周基因型预测的酒精摄入量,总死亡的超额危险度约为7%。涉及本研究中报告的男性平均酒精摄入量,研究人员估计饮酒占中国这一人群男性死亡的约7-8%。这一估计值略低于中国其他研究报告的数值(例如,2016年全球疾病、伤害和危险因素负担研究(Global Burden of Diseases, injury, and Risk Factors Study)中40 ~ 70岁男性死亡的约12%)。
除了相对危险度估计值以及不同性别、地区和年龄的酒精摄入量存在差异外,不同环境下的不同死因构成比也会对酒精归因死亡率估计值产生较大影响。
研究结论
03
综上,本研究表明,在中国男性中,饮酒均会增加总体死亡风险和主要原因(包括CVD、一些癌症和肝病)死亡风险,但并无证据表明适量饮酒具有保护作用。此外,对饮酒量非常低的中国女性的分析表明,男性的死亡率过高可能是由于酒精本身,而不是遗传多效性。(转化医学网360zhyx.com)
参考资料:
https://doi.org/10.1016/S2468-2667(23)00217-7
注:本文旨在介绍医学研究进展,不能作为治疗方案参考。如需获得健康指导,请至正规医院就诊。
腾讯登录
还没有人评论,赶快抢个沙发