推荐活动

LDT案例|Octave公司利用Olink平台开发多发性硬化症诊断蛋白标志物Panel

首页 » 产业 » 快讯 2023-11-30 Olink Proteomics 赞(13)
分享: 
导读
Octave的一系列研究旨在补充多发性硬化症的标准放射成像和临床评估,促进个性化疾病管理。
研究背景
多发性硬化症(Multiple Sclerosis, MS)是中枢神经系统的一种自身免疫性慢性神经炎症性疾病,病程复杂,且临床症状及表现各异。多发性硬化症的临床病程变化多端,给诊断和预后都带来巨大困难。最新McDonald MS诊断标准将临床表现和影像学检查结合起来,重视使用磁共振成像(MRI),但这些标准并不总能准确预测疾病的病程、活动性、进展、复发或治疗响应等。目前尚未出现一种经过验证的临床检测方法,能够利用多种血清生物标志物来准确跟踪多发性硬化症患者的疾病活动或疾病进展。

图片来自 Octave Bioscience 官网

美国Octave Bioscience公司利用Olink PEA技术,使用定制化Focus panel开发了一种基于血清多蛋白生物标志物检测方法,利用多种类型的多发性硬化症患者血清中蛋白生物标志物的浓度来定量测量疾病特征(详细解读)。近日,Octave又获得来自帕金森病研究基金会MJFF(Michael J Fox Foundation) 1000万美元的资助,用于发现、开发和验证定制化蛋白生物标志物Panel以检测帕金森病患者活动性和临床进[1]
新文速递
Octave公司继之前的技术验证研究后,近期在Clinical Immunology期刊(IF = 10.19)上发表了最新临床验证论文,该研究基于MSDA(Immunoassay-based MS Disease Activity )测试模型,选择了 18 种蛋白质纳入检测,并将其纳入最终算法,以计算四种疾病途径得分(免疫调节、神经炎症、髓鞘生物学和神经轴突完整性)和总体疾病活动性得分[2]
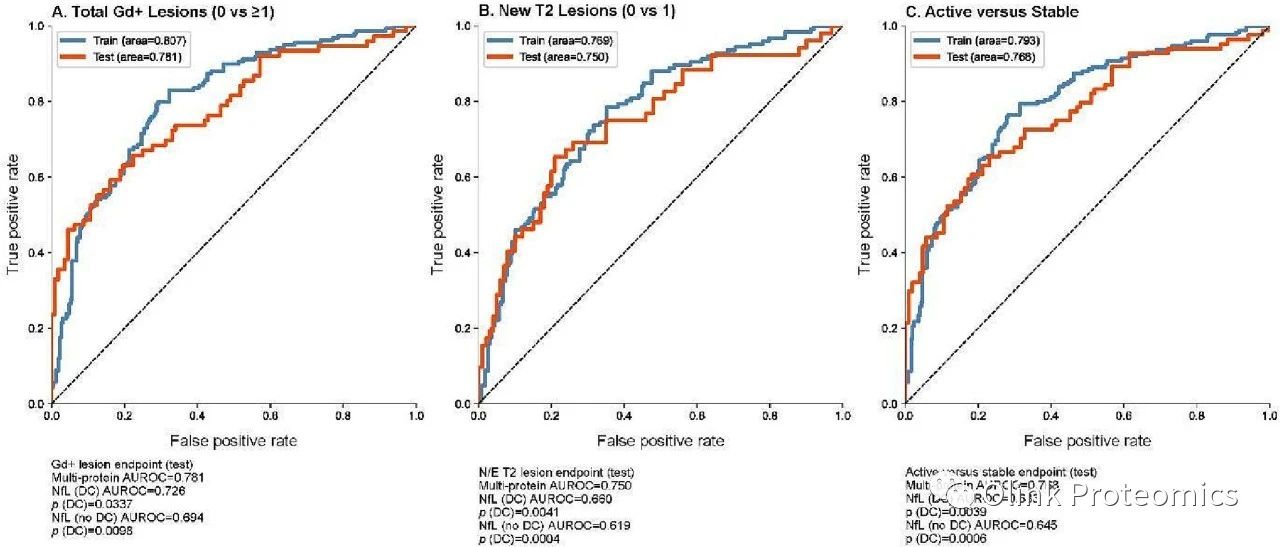
该研究通过评估疾病活动性总评分和四个疾病路径评分与钆阳性(Gd+)病变、新发和增大的T2病变以及疾病活动或稳定状态之间的关联,对MSDA测试进行了临床验证,并总结到在所有评估中,多蛋白模型与基于人口统计学校正 NFL (Neurofilament light chain ) 这一表现最佳的单一蛋白模型相比,具有显著更优性能。MSDA测试旨在补充标准放射成像和临床评估,促进个性化疾病管理。该研究可以称作是使用Olink技术从探索性发现到临床应用的最佳范例之一
研究设计
共有614 份血清样品被研究团队收集并纳入研究,样品组来自两个不同来源: 其中 448 份回顾性样本来自SUMMIT联盟;166 份前瞻性样本来自RMMSC诊所。SUMMIT 样本由三个独立的研究机构和研究项目提供: 哈佛大学医学院附属布列根和妇女医院多发性硬化症综合纵向队列(n = 195)、贝鲁特美国大学医学中心研究(n = 202)和马萨诸塞大学多发性硬化症中心-脱髓鞘疾病家族研究(n = 51)。与普通多发性硬化症患者相比,为本研究选择的患者样本有意增加Gd+病变的存在。所有血清样本都是在一次实验中(数天内)进行分析的。
该研究的主要和探索性评估包括评价多蛋白和单蛋白模型与放射学和临床评估的关联。单蛋白和多蛋白模型与 Gd+ 病变存在与否的关联被视为主要终点,该关联是在抽血后60天内进行的匹配 MRI 上确定的。整个数据集(N = 614)被分成训练子集和测试子集,并对子集进行了分层,以确保人口统计学特征的均衡分布,包括年龄、性别和病程,每个部位的样本数以及 Gd+ 病灶数。评估模型性能的指标包括接收者操作特征下面积 (AUROC)、灵敏度、特异性、阳性预测值 (PPV)、阴性预测值 (NPV)、准确性和几率比率。
主要发现
NFL神经纤维丝轻链在对单个蛋白质进行的模型评估中被发现是性能最高的蛋白质。NFL已被证明是多发性硬化症疾病活动的预后指标,并已被用于预测多发性硬化症的长期临床结果并指导治疗决策。然而,NFL并不是多发性硬化症的特异性指标,其在多种神经退行性疾病中都会升高。此外,由于神经轴受损,该蛋白会释放到脑脊液和血液中,反映了免疫介导的炎症通路下游的病理生理学。
MSDA测试模型中包含的 18 种蛋白质是基于Olink定制化Focus panel上21 种蛋白质的子集,并已在先前的研究中被证实与临床和放射学终点疾病活动相关,而且与多发性硬化症病理生理学所涉及的细胞类型、通路和机制具有生物学相关性。将这些样本中使用多蛋白模型的疾病活动度评分与基于人口统计学校正NFL的最高性能单蛋白模型的性能进行比较后发现,多蛋白人口统计学校正模型的性能优于单蛋白人口统计学校正NFL模型。例如,在比较活动性疾病与稳定性疾病时,MSDA模型的AUC=0.768,而仅基于NFL模型的AUC为0.683
下图中显示了疾病活动度评分和四种疾病路径评分的总体表现。"训练 "子集和 "测试 "子集结果的叠加条形图显示,根据 Gd+ 病变的有无和数量,计算出的疾病活动度评分反映了放射学疾病活动的可能性和严重程度。
MSDA测试是一种基于血清的多蛋白生物标志物检测方法,旨在利用多发性硬化症患者血清中的生物标志物蛋白水平定量测量疾病活动性。蛋白质浓度经过转换,并根据年龄和性别进行人口统计学调整。该多种蛋白质的组合被用来计算四种疾病途径得分和总的疾病活动性评分:
MSDA试验多蛋白模型中疾病活动性和疾病途径得分的相关性。
研究总结
MSDA检测方法的灵敏度和特异性组合非常均衡,这种更灵敏的检测方法将有助于及时进行最佳治疗,从而对患者的预后产生积极影响。而基于血液的方法的另一个优点是,无论中枢神经系统的哪个部位发生病变,都能检测到疾病活动。本研究中的患者样本来自四个不同的地点。不同地点的操作,包括样本制备技术,可能会造成数据集之间的潜在差异。尽管存在这样的挑战,MSDA 测试还是在测试子集中取得了成功,证明了其在真实世界中的性能表现。

这项研究中成功验证了 MSDA 测试的临床有效性。所有疾病活动性评估都与MSDA测试的疾病路径和疾病活动性总分相关。在所有评估中,多蛋白模型的表现明显优于基于人口统计学校正后的NFL这一表现最好的单蛋白模型。对多蛋白质的选择旨在反映与多发性硬化症病理生理学相关的各种生物通路。通过将多蛋白模型和单蛋白模型的结果与放射学/临床评估结合起来,MSDA 测试在本研究中得到了临床验证。该研究提供了II级证据,证明该测试可用于多发性硬化症疾病活动性评估的临床验证。

参考资料:

1. https://clpmag.com/lab-management/company-news/octave-bioscience-gets-10m-grant-from-the-michael-j-fox-foundation-to-develop-parkinsons-disease-biomarker-test/
2. Chitnis T, Foley J, Ionete C, et al. Clinical validation of a multi-protein, serum-based assay for disease activity assessments in multiple sclerosis. (2023) Clinical Immunology, 253:109688.
Olink Proteomics
(纳斯达克代码:OLK)
Olink Proteomics创立于瑞典乌普萨拉,致力于突破蛋白检测在“多重能力/特异性”、“灵敏度”和“检测通量”等方面的综合瓶颈,进而实现超灵敏多重蛋白标志物检测、无偏靶向蛋白质组学和精准蛋白组学,以帮助蛋白标志物的发现、药物研发、转化医学、以及让“多组学整合”真正切实可行。
具体来说,我们基于专利PEA技术,秉承严谨和透明的科学精神,开发并充分验证了一系列开创性的Olink Panel。
这些Panel可赋能科学家,通过在1-6µl体液中精确检测15-5300种生物标志物,更加充分地理解实时生物学。从而,借助多组学发现pQTL等创新药物靶点;筛选更好的疾病预测和预后标志物;理解药物作用的MoA, Safety, PK, PD, Dose;拓展已上市药物的适应症;开发伴随诊断;加速药物研发进程,降低药物研发成本;同时促进从临床科研到临床应用的转化;提高肿瘤等疾病早筛方法的灵敏度和特异性,并最终达致精准医学。
Olink现已覆盖100%主要信号通路,实现生物学意义上的超灵敏无偏靶向蛋白组学(兼容各种样本类型,对传统方法无法胜任的血浆血清等体液样本尤其适用)。
官网:https://www.olink.com
电话:+86 21 5077 8771
邮箱:China@olink.com

地址:上海市浦东新区沪南路2157弄2号1011室

(转化医学网360zhyx.com)

评论:
评 论
共有 0 条评论

    还没有人评论,赶快抢个沙发


Baidu
map