推荐活动

【NEJM新冠】世界上最大的新冠疫苗安全性研究结果发布

首页 » 《转》译 2021-08-28 转化医学网 赞(2)
分享: 
导读
全球接种量最高的新冠疫苗-辉瑞疫苗的副作用到底有多少?日继爆出的国外疫苗接种不良反应的新闻一直连续不断。或许是恐惧担心,也或许更多的是对接种的犹豫。而近期NEW ENGLAND杂志发表了世界最大的对该疫苗安全性的数据调查研究。同时,这项研究是当今数据证据组合、扩展并相互补充的高效医学研究的完美例子。


来源:pixabay

                                      

以色列的Clalit研究所与哈佛大学的研究人员合作,分析了世界上最大的综合健康记录数据库之一,以检查辉瑞 / BioNTech(BNT162B2)疫苗对抗新冠(COVID-19)感染的安全性。该研究在全国大规模疫苗接种环境中对COVID-19疫苗的安全性进行了最大的同行评审评估。该研究在以色列进行,该国是COVID-19疫苗接种率的全球早期引领者。


研究团队已于前日,2021827日,将研究结果发表于《The NEW ENGLAND JOURNAL of MEDICINE》期刊,研究论文名为“Safety of the BNT162b2 mRNA Covid-19 Vaccine in a Nationwide Setting”。

官网论文截图


先前对疫苗安全性的描述依赖于接种疫苗的个人自愿主动报告,所以这些记录肯定是不完整的。本研究依赖于对数百万个匿名电子病历进行的分析,这些记录则综合全面得多。


此外,为了提供解释疫苗安全性结果的必要背景,该研究首次对接种疫苗的个体和感染新型冠状(新冠)病毒的未接种疫苗的个体的各种不良反应事件进行了检查。因此,该研究进行了两个单独分析


I 疫苗接种结果分析


根据广泛的社会人口统计学、地理和健康等相关特征,该研究将884,828名16岁及以上的接种疫苗个体与884,828名未接种疫苗个体仔细匹配。根据他们不断变化的疫苗接种状态,将这些个体动态分配至各组(在研究期间,235,541名个体从未接种疫苗的队列转移到接种疫苗的队列)。


根据 疫苗接种状况和新冠病毒感染状况 研究人群的基线特征

  来源:doi:10.1056/nejmoa2110475


比较了两组在接种任一疫苗后三周内发生的25种潜在不良反应事件的发生率。该分析从2020年12月20日(以色列全国疫苗接种运动启动)进行至2021年5月24日。


与新冠病毒疫苗接种相关的不良反应事件

来源:doi:10.1056/nejmoa2110475


II 感染结果分析


为给上述疫苗安全性结果提供背景,该团队进行了一项单独分析——该分析估计了173,106名感染新冠病毒的未接种疫苗个体中相同的25种潜在不良反应事件的发生率,并把173,106名仔细匹配的没有感染新冠病毒的个体作为对照组。该分析从2020年3月1日(以色列 COVID-19 大流行开始)进行至2021年5月24日。


结果中发现,该疫苗是安全的:在检查的25种潜在副作用中,发现其中4种与疫苗有很强的关联。


心肌炎与疫苗有关,但发生率很低——每10万名接种者中有2.7例(2.7 excess cases)。(接种疫苗后观察到的心肌炎事件集中发生在20至34岁的男性中。)相比之下,未接种疫苗个体中的冠状病毒感染的心肌炎发生率在每10万名感染者中有11例。


与疫苗接种中等相关的其他不良事件是淋巴结(lymph nodes)肿胀,这是一种轻微的副作用,是疫苗接种标准免疫反应的一部分,每10万人中有78例;另外,每10万人中有5例阑尾炎(可能是阑尾周围淋巴肿胀导致)和,每10万人中有16例带状疱疹。


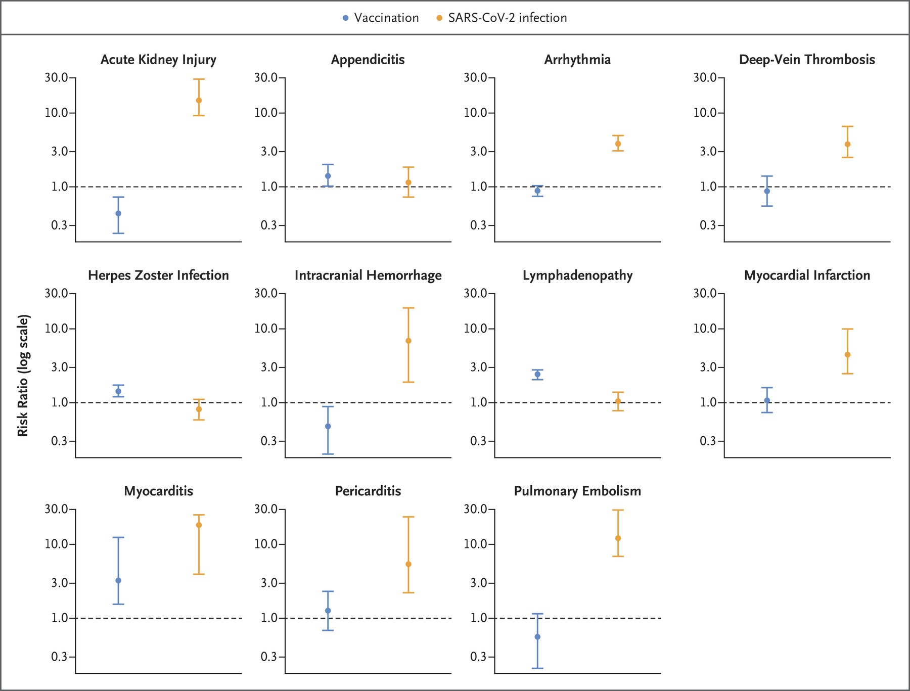
接种疫苗或感染SARS-CoV-2后不良事件的风险比

来源:doi:10.1056/nejmoa2110475


与疫苗相关的较少不良反应数量相比,未接种疫苗患者中与新冠病毒感染相关的多种严重不良反应事件则发生率很高,包括:心律失常(增加3.8倍,每10万名感染者中多增加166例患者)、肾损伤(增加14.8倍;每10万例中多增加125例)、心包炎(增加5.4倍;每10万例中多增加11例)、肺栓塞(增加12.1倍;每10万例多增加62例)、深静脉血栓形成(增加3.8 倍;每10万例多增加43例)、心肌梗塞(增加4.5倍;每10万例多增加25例)和中风(增加2.1倍;每10万例多增加14例)。


接种疫苗或感染SARS-CoV-2后各种不良事件的绝对超额风险

来源:doi:10.1056/nejmoa2110475


研究关注范围

该研究重点关注疫苗接种后中短期内可能发生,以及具有临床意义的不良反应事件。该研究没有关注常见的即时症状,例如注射部位发红不适或发烧。接种疫苗后的6周内(每次接种疫苗后三周)所出现的症状,如果与对照组相比,接种组中发生的频率更高,则被定义为疫苗不良反应事件。


这项研究的结果验证补充了之前报道的辉瑞/BioNTech第三期随机临床试验的结果,试验涉及 了21,720名接种疫苗个体,但无法准确、全面地评估疫苗安全性。该研究规模较大,可以更详细地评估疫苗在更广泛不良反应事件中的安全性。


促进个人决策反思的有力证据

“以色列COVID-19疫苗接种活动在全国范围内的广泛推广为Clalit研究所提供了一个独特的研究机会,让其可以通过丰富而全面的数字数据集来评估疫苗在现实环境中的安全性而无需依赖于个人。该研究的资深作者、Clalit研究所所长兼Clalit首席创新官的Ran Balicer教授说。


这些结果令人信服地表明,这种mRNA疫苗非常安全;而让新冠病毒引起‘自然发病的替代方案使人面临严重不良反应事件的风险概率则更显著、更高并更常见。这些数据应该有助于知情个人进行自我风险利弊的决策,并在我们看来,这为支持选择接种疫苗做出了强有力的论据,特别对于目前病毒传播广泛的国家来说,”兼任以色列国家新冠响应专家咨询小组(Israel's National Expert Advisory Team on COVID-19 response)主席的Balicer教授补充道。。


“这项研究首次揭示了新冠病毒疫苗的显著副作用。由于这是基于电子病历的一项更全面的分析,因此这些评估比迄今为止发布的依赖于自愿主动报告系统的评估更可靠,”Clalit社区卫生部门的首席医疗官Doron Netzer解释说。


波士顿儿童医院计算健康信息学项目和哈佛医学院预测医学组(Predictive Medicine Group at the Boston Children's Hospital Computational Health Informatics Program and Harvard Medical School)主任Ben Reis教授说:“迄今为止,导致疫苗接种产生犹疑的主要驱动因素之一是缺乏关于对疫苗潜在副作用的信息这项仔细的流行病学研究提供了有关疫苗安全性的可靠信息,我们希望这些信息对尚未决定接种疫苗的人有所帮助。”


他继续说道:“那些由于担心非常罕见的副作用(例如心肌炎)而犹豫到现在是否该接种疫苗的人应该意识到,在未接种疫苗的感染者中,这种非常相似的副作用的风险实际上更高。”


数据相互补充的完美研究例子


CAUSALab主任、哈佛T.H. Chan公共卫生学院(Harvard T.H. Chan School of Public Health)Miguel Hernán教授说:“这项研究是随机试验和观察性医疗保健数据库如何相互补充彼此的完美例子。辉瑞 / BioNTech 疫苗的原始试验提供了其安全性的证据,但鉴于其小样本量,这种对 Clalit高质量数据库的分析模拟了原始试验的设计,将其发现作为基准,并对其进行扩展以确认疫苗在各种不良反应事件的安全性。这种来自随机试验和观察性研究的证据组合是高效医学研究的典范,这在新冠时期尤其重要。”


传染病动力学中心(Center for Communicable Disease Dynamics)主任、哈佛大学 T.H.陈公共卫生学院(Harvard T.H. Chan School of Public Health)的Marc Lipsitch教授说:“在所有疫苗安全性研究中,一个主要挑战是确保我们正在比较的以确定疫苗副作用的个体中在其他可能的预测特征方面是相似的,即他们是否本身会经历这些副作用。但这在快速增长并针对年龄的疫苗运动背景下,尤其困难。Clalit非凡的数据库让设计出一项能应对这些挑战的研究成为可能,在某种程度上,这也为研究得出的推论提供了巨大的信心。”


该研究部分由哈佛医学院和Clalit研究所新宣布的Ivan和Francesca Berkowitz家庭生活实验室合作项目(Ivan and Francesca Berkowitz Family Living Laboratory Collaboration)资助。 “通过该合作项目加强的哈佛和Clalit之间的科学合作已经结出硕果,让我们预尝到了将医疗保健系统用于研究的价值。以色列提供了一个独特的环境来研究疫苗及其影响,这项研究是这种密切科学合作实现价值的一个很好例子,” Ivan和Francesca Berkowitz 家庭生活实验室合作项目与Balcer教授并列的联合主任、哈佛医学院生物医学信息学(Department of Biomedical Informatics at Harvard Medical School)主任Isaac Kohane教授说。


来源:pixabay

论文:

Barda, N., Dagan, N., Ben-Shlomo, Y., Kepten, E., Waxman, J., Ohana, R., . . . Balicer, R. D. (2021). Safety of the BNT162b2 Mrna Covid-19 vaccine in a Nationwide Setting. New England Journal of Medicine. doi:10.1056/nejmoa2110475


论文链接(全文访问开放):

https://www.nejm.org/doi/10.1056/NEJMoa2110475


原文链接:

https://medicalxpress.com/news/2021-08-largest-real-world-covid-vaccine-safety.html


注:本文旨在介绍医学研究进展,不能作为治疗方案参考。如需获得健康指导,请至正规医院就诊。


评论:
评 论
共有 0 条评论

    还没有人评论,赶快抢个沙发


Baidu
map