【Olink黑科技】Cell新作揭秘饮食-肠道菌群-人体免疫系统之谜
| 导读 | 导读:斯坦福大学团队借助Olink免疫炎症蛋白组学分析和肠道菌群宏基因组研究发现:食用高纤维食品可维持肠道菌群稳定,影响菌群功能,如碳水化物活性酶CAZyme的表达上调,引起个体化的炎症反应;而食用发酵食品可提高肠道菌群多样性,并降低人体免疫系统炎症标志物表达。 |
2021年8月5日,来自斯坦福大学医学院微生物和免疫专业的科学家Justiin L.Sonnenburg教授课题组,发表了他们最新的研究成果:以肠道微生物群靶向的饮食可以调节人类的免疫状态,在这个研究中,通过一项为期17周的随机前瞻性研究(n=18/arm),结合微生物组和宿主的免疫炎症蛋白组学研究,他们得出结论:高发酵食品饮食稳步增加微生物组学多样性,并且通过有效的降低了血浆炎症蛋白标志物,以上多组学研究数据及结论,对当今工业社会存在的炎症流行类疾病,如自身免疫类疾病、癌症及代谢类疾病的进一步研究及饮食指导,都有非常重要的探索意义和应用价值。看到这里,笔者决定豆腐乳吃起来。
整合肠道微生物组学和人类生物学尤其是免疫组学表明,干预肠道微生物可能是改变人类健康的有力手段。以肠道微生物群为目标,以增强、引入或消除特定功能或类群的饮食可以被证明是实现精准医学承诺的有力途径。
非传染性慢性疾病(Non-communicable chronic diseases, NCCDs),例如很多自身免疫疾病,甚至一些肿瘤,往往主要由慢性炎症驱动,发病率随着全球工业化进程而迅速上升。巧合的是,肠道微生物群随着工业化的变化也有明显的变化。鉴于已知多个研究结果表明人类微生物群会影响炎症状态,一个关键问题是,针对肠道微生物群的饮食是否可以减轻健康个体的系统性炎症?
为了回答这个问题,斯坦福大学的学者使用了饮食干预的方法,并且同时纵向监测了参与实验的健康成年人的微生物组和免疫状态(实验设计见下图)。
(A) 对参与者的登记、分配、随访和分析的排序流程图。侧图显示了每个平台收集的高纤维(Fi)和高发酵(Fe)饮食组的参与者数量。*2名参与者被特殊要求分配到高纤维组中,而不是随机分配的。
(B)为期14周的研究概述时间线、样本类型收集和相应的实验平台。
(C)箱线图中显示的高纤维饮食组的纤维摄入量;高发酵食物饮食组的纤维摄入量以虚线表示。
(D)箱形图中高发酵食物饮食组发酵食物摄入量;高纤维饮食组发酵食物摄入量为虚线。
研究者使用了16S RNA测序技术对受试者的肠道菌群进行了检测,他们发现高发酵食品的饮食增加了微生物群的多样性,并改变了其微生物组成(见下图);与高纤维饮食组相比,在干预过程中,食用高发酵食物饮食的参与者的微生物群总体上alpha多样性有所增加,这可以从总体ASV和Shannon多样性指数的变化趋势看到。这种多样性的增加在选择期间持续存在,当时发酵食物的摄入量高于基线,但低于维持结束时,这表明多样性的增加可能涉及肠道生态系统的重构,而不是立即反映消耗量。
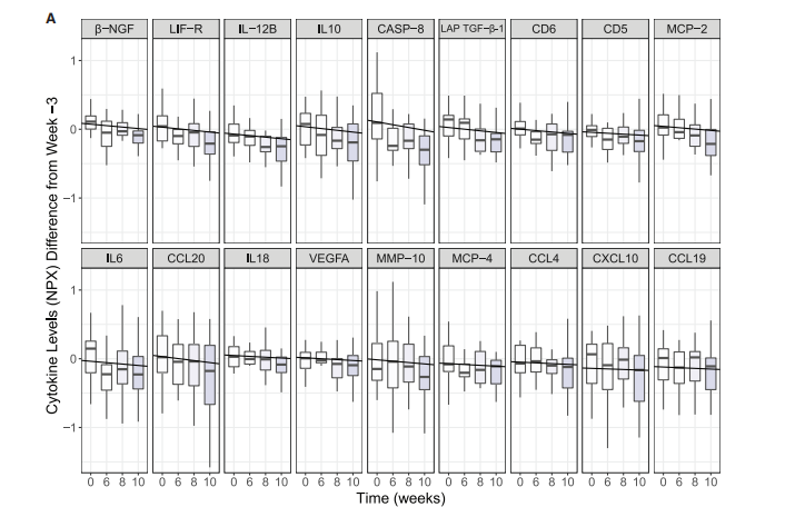
另外,高维度免疫系统图谱分析揭示了宿主对不同食品摄入的免疫反应。科学家发现发酵的食物的摄入会降低炎症的水平。使用Olink公司的免疫炎症蛋白组学产品Inflammation Panel来检测血清中的循环细胞因子,鉴定了92种免疫炎症标志物。如下图所示,其中19个蛋白标志物在发酵食物摄入组中表达量减少,包括细胞因子、趋化因子和炎症血清蛋白,如NGF、LIF-R、IL-6、IL-10、IL-12b、VEGFA、MMP-10和CCL9等。通过使用LME计算的每个分析物的跨时间水平的负相关关系发现,这19个免疫炎症标志物(Fgf-21也有显著变化,图中未显示),从基线(3周)到干预结束(第10周;SAM两类配对、FDR%0.05、q值%0.1)都有发生显著变化。
注:NPX是指Olink蛋白质组学的log2量表中使用的归一化蛋白表达。
这篇文章给我们展示了多组学系统水平的微生物组和免疫炎症蛋白组纵向分析方法可以作为研究协调宿主-微生物关系的研究方法。利用微生物组和Olink 蛋白质组在内的宿主参数的多组学测量,包括最先进的测序和Olink PEA免疫炎症因子分析技术,我们发现高纤维和高发酵食品摄入以不同的方式影响微生物组和人类生物学。
Olink公司的蛋白质组检测以高灵敏度,高重复性,高特异性的特色,为研究者提供了非常优异的数据质量,越来越受到研究者的关注。而Olink公司免疫反应相关蛋白质组的检测试剂盒,越来越来用在免疫炎症相关研究中。
参考文献:Gut-microbiota-targeted diets modulate human immune status Wastyk, Hannah C. et al.Cell, Volume 184, Issue 16, 4137 - 4153.e14
更多Olink Inflammation Panel详情
- 该试剂盒与炎症相关的细胞因子,涉及炎症反应、细胞因子刺激反应、凋亡等生物学过程
- 该Panel包含的蛋白主要与癌症、神经系统、炎症、心血管、肺部疾病、感染性疾病相关
截止至发稿日,已有237篇文章采用Inflammation Panel多重细胞因子检测平台,广泛应用于神经系统、心血管、内分泌、炎症、肿瘤、感染和免疫类疾病等。这237篇文章中,有接近半数的文章于人群队列研究和临床试验密切相关,有巨大临床转化应用潜力。
关于Olink Proteomics(纳斯达克代码:OLK)
Olink Proteomics创立于瑞典乌普萨拉,致力于突破蛋白检测在“多重能力/特异性”、“灵敏度”和“检测通量”等方面的综合瓶颈,进而实现超灵敏多重蛋白标志物检测、无偏靶向蛋白质组学和精准蛋白组学,以帮助蛋白标志物的发现、药物研发、转化医学、以及让“多组学整合”真正切实可行。
具体来说,我们基于专利PEA技术,秉承严谨和透明的科学精神,开发并充分验证了一系列开创性的Olink Panel。
这些Panel可赋能科学家,通过在1-8µl体液中精确检测48-3072种生物标志物,更加充分地理解实时生物学。从而,借助多组学发现pQTL等创新药物靶点;筛选更好的疾病预测和预后标志物;理解药物作用的MoA, Safety, PK, PD, Dose;拓展已上市药物的适应症;开发伴随诊断;加速药物研发进程,降低药物研发成本;同时促进从临床科研到临床应用的转化;提高肿瘤等疾病早筛方法的灵敏度和特异性,并最终达致精准医学。
Olink现已覆盖100%主要信号通路,实现生物学意义上的超灵敏无偏靶向蛋白组学(兼容各种样本类型,对传统方法无法胜任的血浆血清等体液样本尤其适用)。
官网:https://www.olink.com
电话:+86 21 5077 8771
邮箱:China@olink.com
地址:上海市浦东新区荷丹路240号

关注 Olink China 微信号,了解更多内容
(转化医学网360zhyx.com)
腾讯登录
还没有人评论,赶快抢个沙发