FR+CTC检测攻克肺结节病理诊断的障碍
| 导读 | Wiley顶级期刊Small (IF=10.856)近日发表了一篇由同济大学附属上海市肺科医院张哲民教授、同济大学高等研究院杨洋教授和格诺生物科技(中国)有限公司(以下简称格诺生物)联合开展的真实世界研究的研究论文。基于白细胞负向富集和FR特异性的方法来评估CTCs的FR+CTC检测技术,可提高肺结节诊断的敏感性,从而改善肺结节筛查和诊断流程。 |
Wiley顶级期刊Small (IF=10.856)近日发表了一篇由同济大学附属上海市肺科医院张哲民教授、同济大学高等研究院杨洋教授和格诺生物科技(中国)有限公司(以下简称格诺生物)联合开展的真实世界研究的研究论文。该项研究纳入3798例低剂量CT(以下简称LDCT)影像学检查发现肺部小结节的患者,通过对比叶酸受体循环肿瘤细胞(以下简称FR+CTC)与各项临床指标之间的相关性,认为FR+CTC检测作为非侵入式检测技术,对诊断全期肺癌的灵敏度为87.05%,可提高肺结节诊断灵敏度,从而改善肺结节筛查和诊断流程。

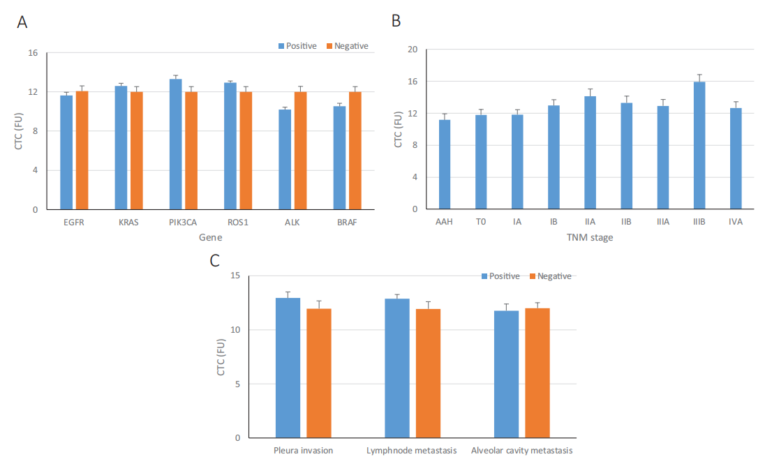
该研究在上海市肺科医院的胸外科招募了3798名即将进行手术的肺部病变患者,在手术前采集3ml外周血,使用FR+CTC检测技术富集检测CTC,对比FR+CTC与各项临床指标(基因表达、TNM分期、胸膜浸润等)之间的相关性。

研究首先对比了CTC与各项临床指标之间的相关性,发现CTC与PIK3CA、ALK及BRAF三个肺癌关键驱动基因相关,也与TNM分期及胸膜浸润相关。

在本研究中,FR+CTC以8.7 FU/3mL为阈值时检测全期肺癌的灵敏度为87.05%(2468/2835)。研究同时比对了高于阈值和低于阈值两组患者各类临床病理特征,再次证实通过联合CTC检测,可提高肺结节诊断灵敏度。

Wei Yin, Junjie Zhu, Benting Ma, Gening Jiang,Yuming Zhu, Wei He, Yang Yang, and Zhemin Zhang. Overcoming Obstacles inPathological Diagnosis of Pulmonary Nodules through Circulating Tumor CellEnrichment. Small. 2020. DOI: 10.1002/smll.202001695.
关于格诺

关注液体活检CN,了解更多。
腾讯登录
还没有人评论,赶快抢个沙发